-
Documentation
-
About
- Getting Started & Use Cases
- Support
-
What's New
- DynamicFlood: Cleaning up rain events and adding historical rains, now available in France
- National Polish high-resolution land cover map
- DynamicFlood now available in Great Britain
- Global contour maps now available
- Updated Swedish topsoil map
- Scalgo Live Global theme is updated with new elevation and land cover data
- Detailed culvert information in DynamicFlood
- No more Lantmäteriet fees for Swedish data
- Depth-dependent surface roughness (Manning) in DynamicFlood
- Detailed land cover map for all of Great Britain
- National French high-resolution land cover map
- Work with multiple features simultaneously in the canvas
- Spill points on flash flood map and depression map
- New surface roughness (Manning) parameters for DynamicFlood
- Workspace and Modelspace sharing updates
- Regionally varying rain in DynamicFlood Sweden
- Veden imeytyminen nyt osana rankkasadeanalyysejä
- Use Scalgo Live anywhere in the world
- DynamicFlood: Live model speed info and regionally-varying rain events
- Sea-level rise: Download building flooding information
- Detailed contour maps and editable buildings in Workspaces
- New in Modelspaces: Explore hydrodynamic simulations and visualise the dynamics of flow velocity
- National German high-resolution land cover map
- Specify basins and protrusions by drawing their outer boundary
- Simplified path features
- National Norwegian high-resolution land cover map
- Organise and communicate on a digital canvas
- New sidebar to help organize your analyses and queries
- Sliding contours
- Ny skyfallsanalys och en ännu bättre marktäckekarta
- New land cover map for Finland
- Depths in the depression map
- New Danish land cover map with more classes
- National Swedish High-Resolution Impervious Surface Mapping
- Watershed tool updated with even better descriptions of catchment characteristics
- National Flash Flood Map with Infiltration and Drainage for Denmark
- Add your own WMS layers to SCALGO Live
- Enriched building data in Denmark
- National hydrological corrections and Land Cover for Poland
- National hydrological corrections for Norway
- Updated Impervious Surface Mapping for Denmark
- National hydrological corrections and updated local data for Finland
- Fast and intuitive tools to work with infiltration and land use
- Improvements to vector imports and exports
- National Danish groundwater model
- New Sweden high-resolution model
- New powerful depression map and more analyses visualization options
- Introducing Modelspaces: Get your hydrodynamic models into SCALGO Live
- Use case videos
- Access a EA flood maps inside SCALGO Live
- Improved map export
- New powerful ways to edit the elevation model
- Better coloring of flooding layers and sea-level depth filtering
- National Danish High-Resolution Impervious Surface Mapping
- National access for local and regional organizations
- Simpler, more powerful downloads
- Customize Layer Transparency
- Hydrological corrections and new data in Sweden
- Improved export functionality
- Access a wide range of authorative data inside SCALGO Live
- Importing VASP data
- Measure gradients, undo edits, and Norway updates
- New terrain edit features, soil balance information and much more...
- Browse historical orthophotos in SCALGO Live
- Emergency planning with sea-level rise from national forecast data
- Detailed information about watershed composition
- Better styling of imported vector layers
- New Danish Elevation Model
- Work with gradients in the profile widget
- Flood risk screening from rivers and flow paths
- New workspace tool: Raise and lower terrain uniformly
- Importing LandXML TINs, LAS point clouds
- New model in Sweden
- Side slopes on workspace features
- Drag and drop enhancements
- Swedish contour maps
- Subsurface basins and sewage drains in workspaces
- New Interface
- Volume information for watersheds and flow paths
- New powerful tool for emergency response and coastal flood prevention
- Denmark: New flash flood map
- Sweden: Geodatasamverkan setting for Swedish users
- Import custom terrain models
- New Hydrological Corrections
- Elevation contours now available
- Download orthophotos as JPEG and PNG
- Subsurface structures in workspace
- Sea-levels in terrain profiles
- Updated orthophotos
- Models and analysis update
- User interface updates
- User interface updates
- GeoDanmark/FOT data, Matrikelkortet now available
- New flash flood map
- Download of risk polygons
- Updated orthophotos
- Nationwide hydrology on the new DHM/2015 model now available
- New flash flood map computation available with watershed download
- DHM/2015 variants and sea-levels now available nationwide
- DHM/2015 now available nationwide
- Hydrology on the new DHM/2015 model now available
- New DHM/2015 Model - now with buildings
- New DHM Model
- Watershed Tool
- Ad hoc layers
- Nationwide contour maps for all countries
- Single Sign-On
- Data Fees
- User Interface
- Canvas
- Analysis
- Workspaces
- Core+ DynamicFlood
- Core+ NatureInsight
- Streams and Flow
- Modelspaces
- Physical Properties
- Country Specific
-
About
Country Specific – Germany
The elevation model for Germany in Scalgo Live is based primarily on the states DGM1 with fallback to DGM2 or BKG's DGM5 where these are not available as open data.
- Bayern: DGM1
- Baden-Württemberg: DGM1
- Berlin: DGM1
- Brandenburg: DGM1
- Bremen: DGM1
- Hamburg: DGM 1
- Hessen: DGM1
- Mecklenburg-Vorpommern: DGM1
- Niedersachsen: DGM1
- Nordrhein-Westfalen: DGM1
- Rheinland-Pfalz: DGM1
- Sachsen: DGM1
- Sachsen-Anhalt: DGM2
- Saarland: DGM1
- Schleswig-Holstein: DGM1
- Thüringen: DGM1
To accommodate resolutions down to 1 m, all analyses are done in 1 m resolution for the whole country in ETRS89/UTM32. The vertical reference used is DHHN92. Workspaces constructed from this model also have a resolution of 1 m. We strive to keep the model up to date with the latest sources.
In order to use an elevation model for hydrological analysis of surface water, such as watershed and flow accumulation computations, three conditions need to be met:
- The upstream area of any river should be covered by the elevation model.
- Structures on top of the terrain should only be present in case they actually block water from flowing under or through them.
- Structures transferring water below the terrain surface should be taken into account.
Below, we discuss how we process the model to fulfil these conditions as well as possible.
Extensions
In order to cover the upstream areas of all rivers crossing the country, we have extended the model in the following areas:
- For Switzerland, contributing almost entirely to the Rhein, we use the 0.5 m swissALTI3D model (resampled to 1 m) from the Federal Office of Topography swisstopo.
- For Austria's contribution to the Donau, we use the 10 m Digitales Geländemodell Österreich.
- For Poland's contribution to the Oder, we use the 1 m Digital Terrain Model made available by the Head Office of Geodesy and Cartography (GUGiK).
- For France's contribution to the Mosel and Rhein, we use the 1 m RGE Alti model.
- To cover minor streams on the border with Denmark, we use the 0.4 m Danish elevation model (DHM) (resampled to 1 m) produced by the Danish Agency for Data Supply and Infrastructure (SDFI).
- Similarly for the Netherlands, we use the 0.5 m Dutch elevation model AHN4 (resampled to 1 m).
- For Luxembourg's contribution to the Mosel, we use the 0.5 m MNT LiDAR 2024.
- To cover remaining areas of the Czech Republic, France, Luxemburg and the Netherlands that contribute to flow in Germany, we included data from the 30-meter EU-DEM data set, which in turn is based on SRTM and ASTER GDEM data.
A full overview of which data source is used for which part of the model
is available by clicking the gear icon next to an elevation layer, selecting the "Source" tab, and "Show source information". Use point query to see more details for individual areas. Multiple styles are available for this layer to colour sources by e.g. date and resolution.

Buildings
Buildings are not included in the terrain models, since they represent the "bare earth" elevations. When computing water flow paths, more realistic results are generally obtained when the elevation model does include buildings so water can be simulated to flow around them. In Scalgo Live, we accomplish this by adding buildings back into the model using a data set of building footprints, where we raise all grid cells covered by a building to a height 10 meters above the highest terrain point within the building footprint. This model is called "Terrain/Buildings" and is the basis for all nationwide hydrological computations.
The building footprints are taken from the AdV Hausumringe Deutschland (HU-DE) dataset, but exclude footprints of bridges, sluices, weirs, etc.

Bridges, underpasses and hydrological corrections
Major bridges have generally been removed from the models, but for many smaller bridges and underpasses additional hydrological corrections that allow water to flow through such structures are necessary. Scalgo Live Germany includes a nationwide hydrological correction set based primarily on the Basis-DLM data from BKG. Corrections have been generated at river sections marked with "HDU_X=1", indicating the river is flowing under something. Each correction thus follows a line in the river network, with end points adjusted to match the elevation model as well as possible.
The set of corrections is available under the Hydrological Corrections category in the Library.
The national analyses use these corrections, and workspaces created using the predefined "Flash Flood Map" or "Sea-Level Rise" buttons also include them by default. If you create a workspace through any other means than the predefined buttons (e.g. if you upload your own model), you can include corrections in that workspace through the workspace Actions tab by clicking Import corrections; they will not be included automatically.
Land cover
The land cover map in Scalgo Live is produced by Scalgo based on machine learning techniques at a resolution of 25 cm. We refer to the land cover section for more details.
ALKIS cadastral parcels (Flurstücke)
We have aggregated cadastral parcel information from all federal states except Bayern into a single layer called Flurstücke under the ALKIS category.
Soil type
The soil type data used in Scalgo Live Germany is based on the Geologische Übersichtskarte der Bundesrepublik Deutschland 1:250.000 (GÜK250) from BGR. Specifically, we use the Basislayer and Überlagerungslayer Petrographie, and map the BGR classes to our JB-based soil types according to this table. For more information about the JB-based soil type classes as well as how we produce the topsoil map, see the soil type documentation.
The following relevant layers are available in the Library:
- The original layers published by BGR can be found in the BGR (wms) category
- The result of combining the BGR layers and mapping to Scalgo soil types can be found in the BGR category, layer BGR GÜK250 soil types.
- The topsoil map can be found in the BGR category, layer Topsoil type.
- The urban polygons used for the topsoil map can be found in the Land Cover category, layer Stadtgebiete. See the layer description of this layer for more information on how it was constructed.
Rain
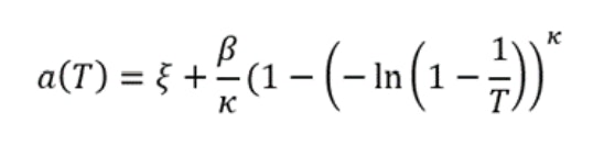
Design rain events in Germany are based on the KOSTRA-DWD-2020 dataset provided by the Deutscher Wetterdienst (Junghänel, 2022). The dataset provides parameters for analytical IDF curves on a 5x5 km grid for the whole country. We create design rain events from these parameters using the methodology described in the Chicago Design Storm section with the only difference being that parameter a is estimated from the return period and is defined by (Junghänel et al., 2023):

Where T is the return period in years and ξ, β, and κ are parameters from the generalized extreme value distribution (representing the location parameter, scale parameter and shape parameter respectively).
A layer showing the gridded rain regions is available in the library under Rain.
Surface roughness
The surface roughness parameter, Manning's M, in Germany is chosen to align as closely as possible with the recommendations given in Leitfaden Kommunales Starkregenrisikomanagement in Baden-Württemberg, Appendix 1a, p. 19. (2020).
Land cover class | Manning's M |
Natural | |
Unpaved road | 40 |
Bare land | 20 |
Shallow vegetation | 5 below 2cm, 25 above 10cm
|
Dense vegetation | 3 below 2cm, 10 above 10cm
|
Field | 8 below 2cm, 30 above 10cm
|
Bare rock | 30 |
Snow/ice | 50 |
Railroad | 20 |
Artificial | |
Building | 50 (not used) |
Paved road | 50 |
Other paved | 40 |
Water | 30 |
Urban and sewered areas
To determine whether an area is to be considered sewered (affecting the fate of water on artificial surfaces in DynamicFlood) we use the map CLC5 2018 from BKG (can be found in the Library). We assume that all artificial surfaces that fall within a polygon of class 1xx in this map are connected to a drainage system, and that all artificial surfaces that fall outside these polygons are not connected to a drainage system.
We set the maximum capacity of the drainage system in DynamicFlood in Germany to 20 mm/hr. This value was chosen to reflect common historical dimensioning practice in Germany.
To determine whether an area is to be considered urban (affecting some soil types in the topsoil map), we use the same map as for sewered areas.